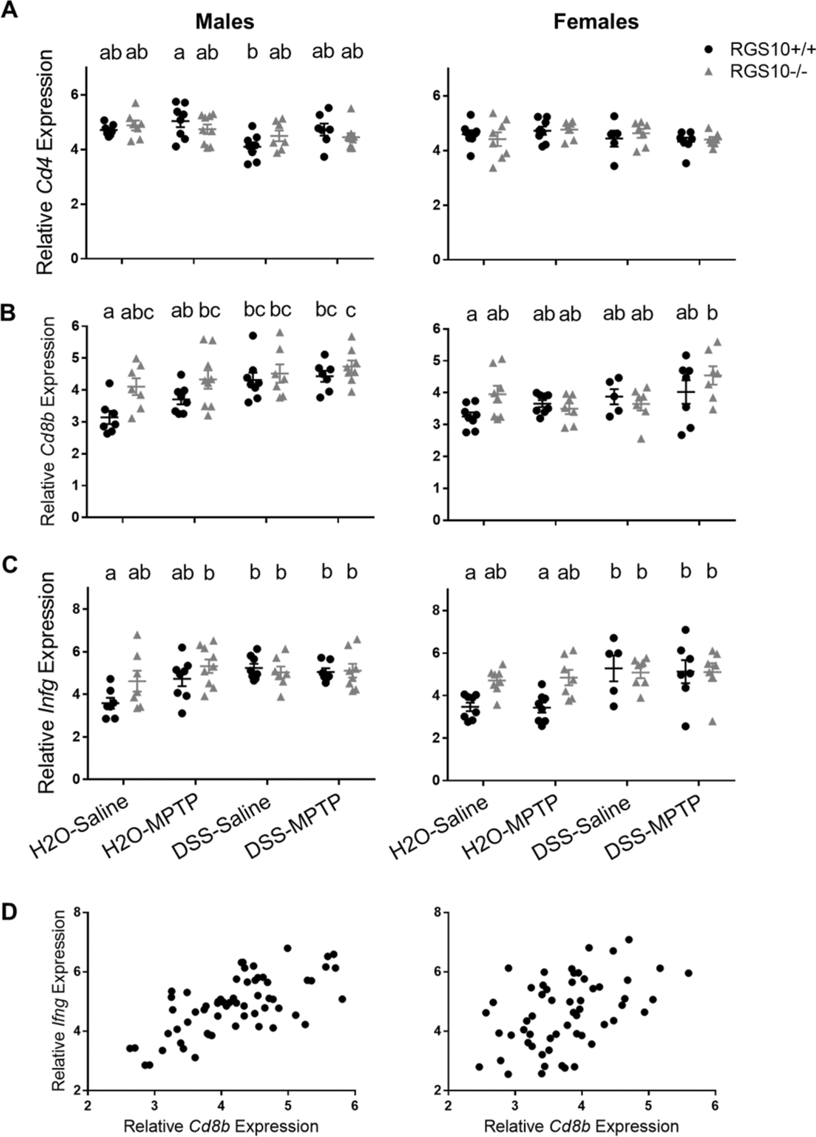
Fig. 8

Colitis and RGS10 deficiency induce CD8+ T-cell infiltration and elevated Ifng expression in the SNpc. A Cd4, B Cd8b, and C Ifng mRNA levels in the SNpc of mice given H2O or 2% DSS followed by saline or MPTP (n = 5–9 per group (groups distinguished by sex, genotype, and treatment), two-way ANOVA, treatment effect p < 0.05 for all except Cd4 for females, genotype effect p < 0.05 for Cd8b for males and Ifng for females, Tukey’s post hoc). Letters above groups indicate post hoc results; no shared letters indicate significant differences between groups. D Significant correlation between nigral Cd8b and Ifng (n = 56–62 per sex, Pearson’s correlation, p < 0.001, R2 = 0.4445 for males and R2 = 0.2057 for females)